报告题目:Resonance problems of the semilinear fourth-order PDE for a rigid woven material
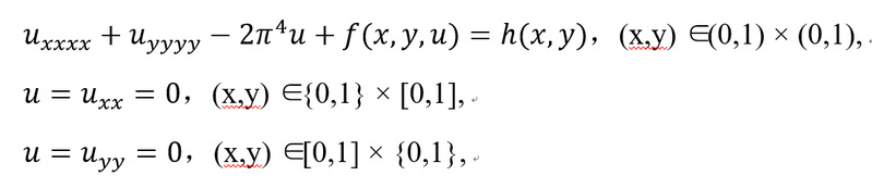
报告摘要:This talk is concerned the resonance problem for the semi-linear fourth-order elliptic boundary value problems as following

which arose as a model for the vertical deformation of a rigid woven material. By coincidence degree theory and the Mawhin’s continuation theorem, we obtain some existence results for the weak solutions of this problem.
报告时间:2023年4月3日16:30
报告地点:教学9号楼C区101学术报告厅
邀 请 人:伏升茂 教授
届时欢迎广大师生参与交流!
报告人简介
安玉坤,南京航空航天大学数学公司教授。williamhill英国官网数学系1982年本科毕业、1988年硕士毕业,兰州大学2001年博士毕业,苏州大学2003年博士后出站。曾于williamhill英国官网计算机系任教。一直从事非线性泛函分析方向的学习、研究、教学工作。针对非线性梁方程、非线性椭圆方程的几个问题做过若干工作。
甘肃省数学与统计学基础学科研究中心
williamhill英国官网

